If you spend any time on social media, you have seen what people think AI looks like. It is usually something flashy, like a robot painting a masterpiece or a tool that writes a screenplay in seconds. But in the world of professional software engineering, we are seeing a different trend. The tools that actually make companies more money are not flashy at all. In fact, they are kind of boring.
At Promact, we spend a lot of time looking at how technology fits into real workflows. We have found that the best results come from solving problems that people usually want to avoid. We call this "Boring AI." It involves things like data entry, checking invoices, and reading through long legal contracts.
It might not sound exciting, but the math behind these boring AI applications is incredible. While the world watches creative models, the professional sphere is moving toward process-oriented systems that tackle pre-existing pain points.
What Makes a Problem "Boring"?
In business infrastructure, a "boring" problem usually has three main parts. First, it is manual and repetitive. Think about someone sitting at a desk, opening a PDF, and typing those numbers into a spreadsheet.
Second, these tasks are expensive when you do them at scale. If you need a team of five people just to move data around, you are likely spending hundreds of thousands of dollars every year on basic labor.
Third, these jobs are universally disliked. Nobody goes to college hoping to spend eight hours a day categorizing receipts. When we use boring AI applications to take over these tasks, we aren't just saving money. We are letting people do work that actually requires a human brain.
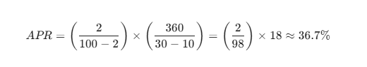
The Math of the "2% Factor"
One of the biggest areas where boring AI applications shine is in accounts payable. Most people think of invoice processing as a simple cost of doing business. But there is a hidden financial opportunity here called the "2% factor."
Many suppliers offer terms like "2/10 net 30." This means if you pay the bill within 10 days instead of 30, you get a 2% discount. It sounds small, right? But if you look at the math, it is actually a massive deal. Missing that 2% discount is like paying a very high interest rate for no reason.
To find the true cost of missing these discounts, you can use the Annual Percentage Rate (APR) formula:
When you plug in the numbers for those "2/10 net 30" terms, the result is eye-opening:
A 36.7% annualized return is better than almost any traditional investment a company can make. But here is the problem: most manual departments only catch about 58% of these discounts because they are stuck in a "bottleneck" of manual entry and slow approvals. Boring AI applications can push that capture rate up to 95%.
Manual vs. Automated: A Quick Look
When we talk to business leaders about boring AI applications, they often want to see the direct comparison. Here is how the numbers usually stack up when you move from manual work to an AI-automated workflow:
Metric | Manual AP Workflow | AI-Automated AP Workflow | Financial Impact |
Cost per Invoice | $12.00 to $30.00 | $1.00 to $5.00 | 60% to 80% reduction |
Processing Time | 15 to 20 Days | 1 to 3 Days | 85% more efficient |
Error Rates | 1% to 3% | 0.3% to <0.5% | 90% more accurate |
Discount Capture | ~58% | 85% to 95% | Direct profit gain |
Scale | Base Rate | 64% Increase | Scale without hiring |
Why Old School OCR Failed
You might be thinking, "Haven't we had document scanners for years?" Yes, we have. But the old way, called Optical Character Recognition (OCR), was very fragile.
Traditional OCR relied on templates. You had to tell the software exactly where the "Total Amount" was on the page. If a vendor changed their invoice layout or moved a logo, the whole system would break. This meant developers had to spend hours fixing scripts every time a document looked different.
Modern boring AI applications use something called Intelligent Document Processing (IDP). These systems don't look for data in a specific box. Instead, they "read" the document like a person would. They understand the context. They know what a "tax" or a "due date" is regardless of where it sits on the page.
These systems usually start with about 85% accuracy and get better as humans give them feedback. Within six months, they often hit 99% accuracy because they learn from their mistakes.
Auditing Contracts Without the Headache
Legal departments are another place where boring AI applications are doing the heavy lifting. Manual contract review is slow and can be dangerous if a lawyer gets tired and misses a bad clause.
AI systems can now scan thousands of contracts in minutes. They look for "deviation." For example, if a vendor tries to sneak in a different payment term that doesn't match your company "playbook," the AI flags it immediately.
Some tools can save a lawyer 15 to 20 minutes per clause by suggesting the right language and handling the "redlining" process. This isn't about replacing lawyers. It is about moving the legal team from a department that just costs money to a team that actively protects the business from risk.
Real World Wins
We see these boring AI applications working in sectors that usually struggle with tech, like healthcare and logistics.
In healthcare, one provider used AI to handle insurance verification. They cut patient registration time from 15 minutes down to just 3 minutes. Even better, they caught insurance issues at the front desk instead of weeks later. This simple change led to a $2.3 million annual improvement in their revenue cycle.
In the logistics world, processing shipping documents and customs forms is a major "boring" problem. AI can cut the time it takes to manage these documents by about 70%. It can even analyze thousands of international quotes to help companies find better pricing, leading to 30% cost savings.
The 2026 Landscape: Scaling AI Agents
As we move through 2026, the trend is shifting from simple tools to "AI agents." Instead of just one tool that reads an invoice, companies are using ecosystems of specialized agents that work together.
For example, a contract compliance system might have:
An agent that identifies regulatory rules.
An agent that screens active contracts for gaps.
An agent that scores the risk of a specific deal.
This multi-agent approach can lead to a 50% reduction in external review costs and 40% lower internal audit costs.
Navigating the Risks
Even though boring AI applications are profitable, they aren't magic. There are real risks you have to manage. One concern is "model decay." This happens when AI starts training on content that was also made by AI, which can cause accuracy to drop over time.
To fix this, we use the "Swiss Cheese Model." It means using multiple overlapping layers of safeguards. You need:
Transparency: The AI must explain why it flagged a specific clause.
Human-in-the-Loop: You still need humans to make strategic decisions.
Data Quality: AI is only as good as the data you give it.
Regular Audits: You have to check the outputs periodically to make sure the accuracy hasn't slipped.
Getting Past the "Wallet Friction"
The hardest part of adopting boring AI applications is often just getting started. Many companies have a "we will just hire more people" mentality. We call the resistance to change "wallet friction."
But once a tool is in place and it is saving $4,000 in labor for every $500 spent, nobody wants to go back to the old way. The switching cost becomes very high because the efficiency is so obvious.
Final Thoughts
The shift toward boring AI applications is a sign that the industry is maturing. We are moving away from flashy demos and toward industrial-grade utility.
As a software engineering partner, we believe that "superhuman efficiency" in regular work is the most exciting development of the decade. By eliminating the "dead weight" tasks in the back office, companies can finally let their people focus on high-value strategy and growth.
The most successful companies in 2026 won't be the ones with the flashiest AI art. They will be the ones who quietly automated their invoices, secured their contracts, and stopped leaving money on the table.

We are a family of Promactians
We are an excellence-driven company passionate about technology where people love what they do.
Get opportunities to co-create, connect and celebrate!
Vadodara
Headquarter
B-301, Monalisa Business Center, Manjalpur, Vadodara, Gujarat, India - 390011
+91 (932)-703-1275
Ahmedabad
West Gate, B-1802, Besides YMCA Club Road, SG Highway, Ahmedabad, Gujarat, India - 380015
Pune
46 Downtown, 805+806, Pashan-Sus Link Road, Near Audi Showroom, Baner, Pune, Maharashtra, India - 411045.
USA
4056, 1207 Delaware Ave, Wilmington, DE, United States America, US, 19806
+1 (765)-305-4030

Copyright ⓒ Promact Infotech Pvt. Ltd. All Rights Reserved

We are a family of Promactians
We are an excellence-driven company passionate about technology where people love what they do.
Get opportunities to co-create, connect and celebrate!
Vadodara
Headquarter
B-301, Monalisa Business Center, Manjalpur, Vadodara, Gujarat, India - 390011
+91 (932)-703-1275
Ahmedabad
West Gate, B-1802, Besides YMCA Club Road, SG Highway, Ahmedabad, Gujarat, India - 380015
Pune
46 Downtown, 805+806, Pashan-Sus Link Road, Near Audi Showroom, Baner, Pune, Maharashtra, India - 411045.
USA
4056, 1207 Delaware Ave, Wilmington, DE, United States America, US, 19806
+1 (765)-305-4030

Copyright ⓒ Promact Infotech Pvt. Ltd. All Rights Reserved
